Obtaining the log-normal maximum likelihood estimators

We start with the likelihood function which is:

We then take the natural log of the likelihood function (helps simplify our calculations).

To find the μ and σ which maximise our log-likelihood function we take the gradient of our log-likelihood function with respect to μ and σ and set it to 0.

To prove that these two estimators maximise our log-likelihood function we confirm that the Hessian matrix is negative-definite. We won’t look into these steps here.


Obtaining the mode

$$PDF: f(x) = \frac{1}{x\sigma \sqrt{2\pi}} e^{-\frac{\left(ln (x) -\mu\right)^2}{2\sigma^2} }$$

The mode is the value that maximises the probability density function (pdf). We, therefore, take the gradient with respect to x and set it equal to 0.

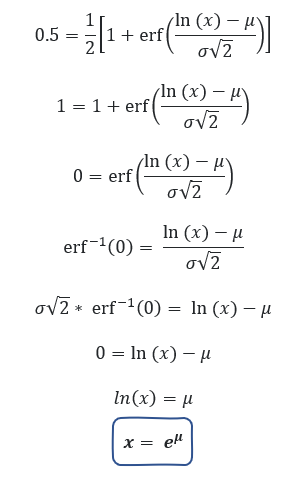
Obtaining the median

$$CDF: f(x) = \frac{1}{2} \left[ 1+ erf\left( \frac{ln (x) -\mu}{\sqrt{2\sigma^2}}\right) \right] $$

erf is the error function. The median is the value where the cumulative distribution function (cdf) is 0.5.

References:

[1] Wikipedia, Maximum Likelihood Estimation (2022), retrieved on 2022–02–06

[2] J. Soch, K. Petrykowski, T. Faulkenberry, The Book of Statistical Proofs (2021), github.io

[3] Mdoc, Mode of lognormal distribution (2022), retrieved on 2022–02–04, Mathematics Stack Exchange, URL (version: 2015–06–11)